ogmmateryal-1438462.docx

Creation date: 4/24/2026 4:28 AM    Updated: 4/24/2026 4:28 AM


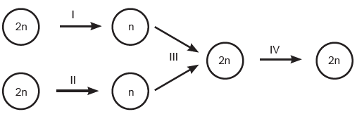
Soru 1

Yukarıda bir canlıya ait üreme olayları şematize edilmiştir.

Numaralandırılmış olaylar ile ilgili olarak aşağıdaki ifadelerden hangisi söylenemez?

A)  I ve II üreme ana hücrelerinde oluşur.
B)  III ve IV. olaylar sonucunda oluşan hücreler aynı kalıtsal yapıya sahiptir.
C)  I, II ve III. olaylar kalıtsal çeşitliliğe neden olur.
D)  Homolog kromozomların ayrılması II ve III. olaylar sırasında gerçekleşir.
E)  IV. olay mitoz bölünmedir.



CEVAPLAR: 1-D